Problem with SSP - plotting and No valid parameters found in SSP scan
Problem with SSP - plotting and No valid parameters found in SSP scan
Hello Florian
I am trying to make some scans and plots with the parameters m0 and m12 using SSP package. I created a file called ¨Example1_GridScan.BLSSM.m¨ which is similar to the Example1_GridScan.m file found in SSP/Input folder. I am using ¨LesHouches.in.BLSSM¨ and "SPheno.spc.BLSSM" respectively as SPheno input and output files when I run SARAH and SPheno using BLSSM model. But the problem is that when I run SSP it says that there is No valid parameter point found during scan.
I Attached here the input file ¨Example1_GridScan.BLSSM.m¨ together with SPheno input and output files and an image of the DefaultSettings file I used.
As I am using a high scale input file of SPheno (LesHouches.in.BLSSM) I preferred to follow the values written in the file SSP_Template.m.BLSSM created by SARAH in the blocks MODSEL, SMINPUTS and SPhenoInput of my scan operation but it still says that No valid parameter point found during all the scans.
What do you recommend me to do to solve this problem?
Best regards
Cheers
Felipe
I am trying to make some scans and plots with the parameters m0 and m12 using SSP package. I created a file called ¨Example1_GridScan.BLSSM.m¨ which is similar to the Example1_GridScan.m file found in SSP/Input folder. I am using ¨LesHouches.in.BLSSM¨ and "SPheno.spc.BLSSM" respectively as SPheno input and output files when I run SARAH and SPheno using BLSSM model. But the problem is that when I run SSP it says that there is No valid parameter point found during scan.
I Attached here the input file ¨Example1_GridScan.BLSSM.m¨ together with SPheno input and output files and an image of the DefaultSettings file I used.
As I am using a high scale input file of SPheno (LesHouches.in.BLSSM) I preferred to follow the values written in the file SSP_Template.m.BLSSM created by SARAH in the blocks MODSEL, SMINPUTS and SPhenoInput of my scan operation but it still says that No valid parameter point found during all the scans.
What do you recommend me to do to solve this problem?
Best regards
Cheers
Felipe
- Attachments
-
- SPheno.spc.BLSSM.m
- (111.97 KiB) Downloaded 507 times
-
- LesHouches.in.BLSSM.m
- (3.53 KiB) Downloaded 480 times
-
- Captura de tela de 2017-02-10 19-21-18.png (49.37 KiB) Viewed 149604 times
-
- Captura de tela de 2017-02-10 19-22-01.png (30.54 KiB) Viewed 149604 times
-
- Picture of DefaultSettings.m.BLSSM.png (100.42 KiB) Viewed 149604 times
-
- Example1_GridScan.BLSSM.m
- (5 KiB) Downloaded 516 times
Re: Problem with SSP - plotting and No valid parameters found in SSP scan
Hi,
it seems to me that you are not setting the MINPAR block as it should be for the BLSSM. There are more than 5 entries.
Cheers
Florian
it seems to me that you are not setting the MINPAR block as it should be for the BLSSM. There are more than 5 entries.
Cheers
Florian
Re: Problem with SSP - plotting and No valid parameters found in SSP scan
Hi Florian
Thank you very much for your reply. I filled the MINPAR block with all its entries and I also defined the blocks YVIN and YXIN of the BLSSM.
When I run the command Start["Example1_GridScan.BLSSM.m"] in Mathematica, at least the scan operation ScanM12 of the parameter m12 worked but the other 2 operations ScanM0 and ScanM0M12 continued showing No valid parameter point found during scan. Here is attached the input file ¨Example1_GridScan.BLSSM.m¨ I used including all the modifications. Do you think there are still missing some pieces in the blocks that shows these scan operations and their plots or you think it is just necessary to change the scan range of parameter M0?
And also, in order to help you to solve other problems, I inform you that when I downloaded SSP version SSP-1.2.3 I saw a PDF manual of SSP Version 1.2.2, so that you can update it to its recent version including the differences between SSP versions 1.2.2 and 1.2.3.
Best regards
Cheers
Felipe
Thank you very much for your reply. I filled the MINPAR block with all its entries and I also defined the blocks YVIN and YXIN of the BLSSM.
When I run the command Start["Example1_GridScan.BLSSM.m"] in Mathematica, at least the scan operation ScanM12 of the parameter m12 worked but the other 2 operations ScanM0 and ScanM0M12 continued showing No valid parameter point found during scan. Here is attached the input file ¨Example1_GridScan.BLSSM.m¨ I used including all the modifications. Do you think there are still missing some pieces in the blocks that shows these scan operations and their plots or you think it is just necessary to change the scan range of parameter M0?
And also, in order to help you to solve other problems, I inform you that when I downloaded SSP version SSP-1.2.3 I saw a PDF manual of SSP Version 1.2.2, so that you can update it to its recent version including the differences between SSP versions 1.2.2 and 1.2.3.
Best regards
Cheers
Felipe
- Attachments
-
- Example1_GridScan.BLSSM.m
- (5.66 KiB) Downloaded 458 times
Re: Problem with SSP - plotting and No valid parameters found in SSP scan
Hi Florian
Now that I changed the scan range of parameter M0 all the other 2 operations ScanM0 and ScanM0M12 finally worked.
Now, following http://arxiv.org/abs/arXiv:1503.04200 in section 8.2, I am making a linear scan in MZp in the range [2.5,4.0] TeV and also a grid scan in the range [1.20, 1.25] for tanBp and [2.5, 3.0] TeV for MZp. I did not include the tools HiggsBounds and HiggsSignals in my scans and plots.
When I run the command Start ["BLSSM_TBpMZp.m"] in Mathematica to make the scans and plots, the first Linear scan operation ¨MZpLinear¨ worked but the second operation ¨MZpTBpGrid¨ did not conclude the plots. On the contrary, its output directory contains only the data file and the spectrum file associated with this scan operation. What do you think that is wrong with the scan operation ¨MZpTBpGrid¨ defined in the file I wrote?
The file that defines the scans is ¨BLSSM_TBpMZp.m.¨ and the file that contains information about the location and usage of all the different
tools is called ¨DefaultSettings.BLSSM.m¨. They are both attached here.
Best regards
Cheers
Felipe
Now that I changed the scan range of parameter M0 all the other 2 operations ScanM0 and ScanM0M12 finally worked.
Now, following http://arxiv.org/abs/arXiv:1503.04200 in section 8.2, I am making a linear scan in MZp in the range [2.5,4.0] TeV and also a grid scan in the range [1.20, 1.25] for tanBp and [2.5, 3.0] TeV for MZp. I did not include the tools HiggsBounds and HiggsSignals in my scans and plots.
When I run the command Start ["BLSSM_TBpMZp.m"] in Mathematica to make the scans and plots, the first Linear scan operation ¨MZpLinear¨ worked but the second operation ¨MZpTBpGrid¨ did not conclude the plots. On the contrary, its output directory contains only the data file and the spectrum file associated with this scan operation. What do you think that is wrong with the scan operation ¨MZpTBpGrid¨ defined in the file I wrote?
The file that defines the scans is ¨BLSSM_TBpMZp.m.¨ and the file that contains information about the location and usage of all the different
tools is called ¨DefaultSettings.BLSSM.m¨. They are both attached here.
Best regards
Cheers
Felipe
- Attachments
-
- Picture of scan operation MZpTBpGrid.png (28.42 KiB) Viewed 149590 times
-
- BLSSM_TBpMZp.m
- (4.93 KiB) Downloaded 518 times
-
- DefaultSettings.BLSSM.m
- (1.53 KiB) Downloaded 540 times
Re: Problem with SSP - plotting and No valid parameters found in SSP scan
Hi,
I made the experience that Mathematica has problems with ListContourScans and the Kernel terminates. Since in your screenshot no "finished" appears, I guess that's the case here.
In any case, it might be more covenient to read in the data after scan into a separate notebook and make the plots by hand. This usually gives more freedom in formatting the layout. See the the corresponding section of the SSP manual "2.4 Using results of already performed scans".
Cheers
Florian
I made the experience that Mathematica has problems with ListContourScans and the Kernel terminates. Since in your screenshot no "finished" appears, I guess that's the case here.
In any case, it might be more covenient to read in the data after scan into a separate notebook and make the plots by hand. This usually gives more freedom in formatting the layout. See the the corresponding section of the SSP manual "2.4 Using results of already performed scans".
Cheers
Florian
Re: Problem with SSP - plotting and No valid parameters found in SSP scan
Hi Felipe,
Have you ever tried to make scan in MSSM at low scale on M2 or mu by SPheno and SSP ?
Best,
Astro ..
Have you ever tried to make scan in MSSM at low scale on M2 or mu by SPheno and SSP ?
Best,
Astro ..
Re: Problem with SSP - plotting and No valid parameters found in SSP scan
Hi Astro
I think you can make scan in MSSM at low scale on M2 or mu reading your data after scan and make plots by hand after trying to do the same with SPheno and SSP. I will try to do a low energy scan on some parameters but in U(1) extentions of the MSSM using SPheno and SSP.
Good luck!
Best,
Felipe
I think you can make scan in MSSM at low scale on M2 or mu reading your data after scan and make plots by hand after trying to do the same with SPheno and SSP. I will try to do a low energy scan on some parameters but in U(1) extentions of the MSSM using SPheno and SSP.
Good luck!
Best,
Felipe
Re: Problem with SSP - plotting and No valid parameters found in SSP scan
Hello Florian
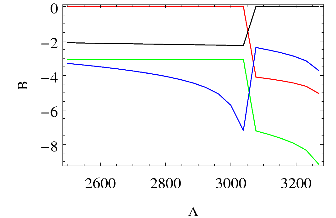
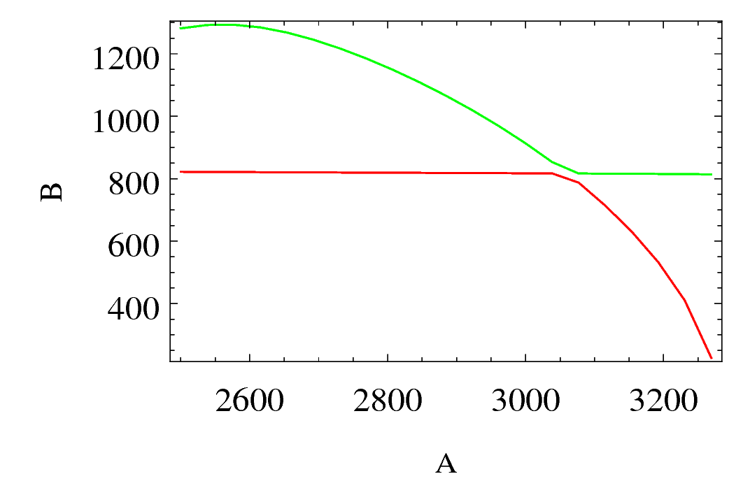
After making a linear scan of the BLSSM MZp in the range [2.5,4.0] TeV, which worked with SSP-1.2.3 in plotting the graphs, I would like to know why the y and x axis did not appear with their correct variable name given in the scan file ¨BLSSM_TBpMZp.m¨ (which is attached here). In all cases the y axis appears with B and the x axix appears with A. What do you think is wrong with the definitions of the plots and their associated BasicStyle definitions?
As I have already seen, in this case the problem does not seem to be in the Latex commands I used.
All the results I obtained in this operation all attached here.
Best regards
Cheers
Felipe
After making a linear scan of the BLSSM MZp in the range [2.5,4.0] TeV, which worked with SSP-1.2.3 in plotting the graphs, I would like to know why the y and x axis did not appear with their correct variable name given in the scan file ¨BLSSM_TBpMZp.m¨ (which is attached here). In all cases the y axis appears with B and the x axix appears with A. What do you think is wrong with the definitions of the plots and their associated BasicStyle definitions?
As I have already seen, in this case the problem does not seem to be in the Latex commands I used.
All the results I obtained in this operation all attached here.
Best regards
Cheers
Felipe
- Attachments
-
- BLSSM_TBpMZp.m
- (4.93 KiB) Downloaded 494 times
-
- Captura de tela de 2017-02-14 18-16-44.png (14.8 KiB) Viewed 149577 times
-
- Captura de tela de 2017-02-14 18-15-57.png (16.4 KiB) Viewed 149577 times
-
- Captura de tela de 2017-02-14 18-15-02.png (15.48 KiB) Viewed 149577 times
-
- Captura de tela de 2017-02-14 18-14-14.png (13.32 KiB) Viewed 149577 times
Re: Problem with SSP - plotting and No valid parameters found in SSP scan
Hi,
I think a problem is that recent Mathematica version don't export the labels as text in the eps but convert them into graphics. Therefore, psfrag doesn't work anymore. On the other side, typesetting equations within Mathematica is looking also nicer nowadays, i.e. personally, I don't bother any longer to set them in LaTeX.
Cheers
Florian
I think a problem is that recent Mathematica version don't export the labels as text in the eps but convert them into graphics. Therefore, psfrag doesn't work anymore. On the other side, typesetting equations within Mathematica is looking also nicer nowadays, i.e. personally, I don't bother any longer to set them in LaTeX.
Cheers
Florian
Re: Problem with SSP - plotting and No valid parameters found in SSP scan
Hello Florian
The SSP.pdf manual located in the directory $PATH/SSP says in page 18 that script fragmaster.sh is included in the package directory of SSP and that it might be necessary to make it executable via the command
chmod -x fragmaster.sh
But when I opened the package directory I found a file called fragmaster.pl, not fragmaster.sh. Is this because I am using the most recent version of SSP-1.2.3? In order to be sure that the script fragmaster.pl is executable to read some LATEX symbols in my plots do you recommend me to run the command chmod -x fragmaster.pl or I should create the same script but in .sh format?
Thank you!!!!
Cheers
Felipe
The SSP.pdf manual located in the directory $PATH/SSP says in page 18 that script fragmaster.sh is included in the package directory of SSP and that it might be necessary to make it executable via the command
chmod -x fragmaster.sh
But when I opened the package directory I found a file called fragmaster.pl, not fragmaster.sh. Is this because I am using the most recent version of SSP-1.2.3? In order to be sure that the script fragmaster.pl is executable to read some LATEX symbols in my plots do you recommend me to run the command chmod -x fragmaster.pl or I should create the same script but in .sh format?
Thank you!!!!
Cheers
Felipe